Powers and Roots
If the bases are the same you can add or subtract the powers
Powers are also called indices
The index is the power
1) Write down all the numbers less than 50 that are powers of 2 ?
2) Write down all the cube numbers less than 50 ?
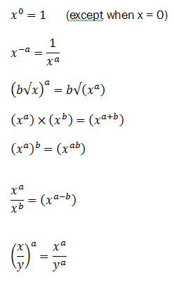
Powers
![]() |
Excel POWER function
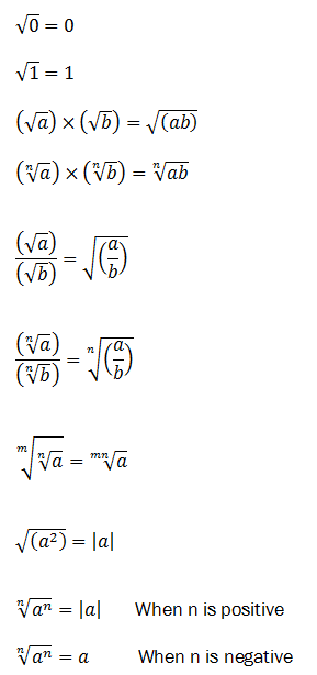
Roots
![]() |
Excel SQRT function
Simplifying Roots
b a = exp ( a * ln(b) )
w
Excel - KB 271143
Calculate the Nth root of a number
To find the nth root, raise the number to the power of (1/n)
eg 3 sqr(8) = 8^(1/3) = 2
© 2026 Better Solutions Limited. All Rights Reserved. © 2026 Better Solutions Limited TopPrevNext

