Geometric Series
A geometric series is the sum of a [[Geometric Sequence]]
where 'a' is called the first term and 'r' is called the ratio.
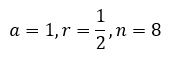
![]() |
![]() |
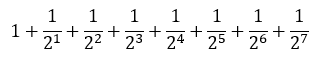
This will create the following geometric series where each successive term is obtained by multiplying the previous term by 1/2.
![]() |
This series can be written as
![]() |
Summing a Geometric Series
The sum of a geometric series is finite as long as the value of r is less than 1.
Despite the series containing an infinite number of terms they get smaller and smaller.
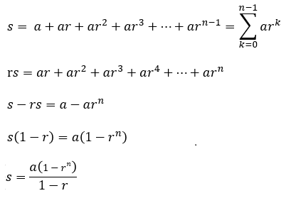
The sum of the first n terms when r is not equal to 1 is:
![]() |
The sum of this series
![]() |
would be
![]() |
Summing a Geometric Series (to infinity)
The sum to infinity is:
![]() |
© 2026 Better Solutions Limited. All Rights Reserved. © 2026 Better Solutions Limited TopPrevNext






