Percentages
1) What is a Percentage ?
Percent means out of 100.
So 20% means 20 out of 100 or (20/100) as a fraction
2) How do we convert a Percentage to a Decimal ?
Divide the percentage by 100 to get a decimal number.
3) How do we convert a Percentage to a Fraction ?
Divide the percentage by 100 to get a decimal number
Use that number as the numerator (top) of a fraction. Put a 1 in the denominator (bottom) of the fraction.
4) What is Percentage Change ?
The percentage change is an indication of how much a number increases or decreases by.
Percentage change equals the change in value divided by the absolute value of the original value, multiplied by 100
Percent increase and percent decrease are measures of percent change.
5) How do we work out a Percentage Increase ?
Work out the difference between the 2 numbers (how much has it decreased)
Divide the decrease by the original number and multiply it by 100.
decrease / original = original | decrease
6) How do we work out a Percentage Decrease ?
Work out the difference between the 2 numbers (how much has it increased)
Divide the increase by the original number and multiply it by 100.
increase / original = original | increase
7) Calculate 16% of 50 ?
100% = 50
1% = 0.5
16% = (0.5 x 16) = 8
8) Find 21% of 4200 ?
100% = 4200
1% = 42
21% = (42 x 21) = 882
9) What is 15% more than 100 ?
100% = 100
1% = 1
100% + 15% = 100 + 15 = 115
10) What is 15% of 360.
100% = 360
1% = 3.6
15% = (3.6 x 15) = 54
11) What is 26% as a decimal ?
12) Reduce £250 by 25% ?
13) What is 10% of £4.00 ?
14) How many people can the concert hall hold in total ?
A concert hall has sold 60% of its tickets
There are 28 tickets that remain unsold.
60% sold
40% not sold = 28
total = (28/4) * 10 = (7*10) = 70 people
15) What percentage of all the pupils play both the violin and piano ?
70% of all the pupils play violin
80% of all the pupils play piano
What is the largest possible answer ?
What is the smallest possible answer ?
16) A pair of trainers were originally £90.00.
They are now £76.50.
What percentage have they been reduced by ?
17) £15 gets increased by 40%, what is the new amount ?
15 x (140/100) = 210/10 = £21
18) A gym membership is usually £35 a month.
If I buy an annual membership and pay upfront I get a 25% discount.
How much is the annual membership ?
19) Steve has saved £15,000
This is half of the 10% deposit that he needs to buy his first apartment.
What is the price of the apartment ?
Converting
Converting percentages to fractions - the number over 100
Converting percentages to decimals - divide by 100
Converting decimals to percentages - multiply by 100
Quick Percentages
| Percentage | Decimal | Fraction |
| 1% | 0.01 | 1/100 |
| 2% | 0.02 | 2/100 |
| 3% | 0.03 | 3/100 |
| 5% | 0.05 | 5/100 |
| 10% | 0.1 | 10/100 |
| 20% | 0.2 | 20/100 |
| 50% | 0.5 | 50/100 |
| 75% | 0.75 | 75/100 |
| 90% | 0.9 | 90/100 |
| 100% | 1.0 | 100/100 |
Calculating Percentage Increase
| A = Amount Afterwards | B = Amount Before | P = Percentage Change |
| A = B * (1 + P) | B = A / (1 + P) | P = (A - B) / B |
| salary is B increased by P% | salary is increased by P% to A | salary was B is now A (A > B) |
| P% more than B | B increased to A | |
| B plus P% |
Calculating Percentage Decrease
| A = Amount Afterwards | B = Amount Before | P = Percentage Change |
| A = B * (1 - P) | B = A / (1 - P) | P = (B - A) / B |
| salary is B decreased by P% | salary is decreased by P% to A | salary was B is now A (B > A) |
| P% less than B | B decreased to A | |
| B minus P% |
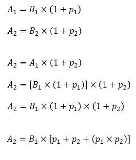
Compound Percentages - Increase
This is when there are two percentage increases
![]() |
Compound Percentages - Decrease
This is when there are two percentage decreases
![]() |
© 2026 Better Solutions Limited. All Rights Reserved. © 2026 Better Solutions Limited TopPrevNext

